Some loads can be single point picked, and the rigging is selected based on suspended weight.
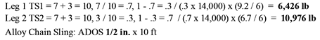
Other times, a rigging task will require that we use a few steps to get to the solution. Note that in some cases the distribution of weight is required, then the sling tension is discovered as a 2-step process. In the assignment below, we can determine the sling tension in the 9.2’ leg and the 6.7’ leg by using the formula on the Master Rigger Reference Card, Panel 10 (left side of the panel).
Once we find the tension of side 1 (TS1) and then tension of side 2 (TS2), we can select the correct size of alloy chain for the lift.
In the assignment below, the ADOS stands for “Adjustable, Double (leg), Oblong (link at the top), Standard or Sling (hook at the bottom)”.
Let’s see how you do.
Determine the tension and the alloy chain sling size necessary to make the lift.
Leg 1 (9.2') Tension = ___________ lb
Leg 2 (6.7') Tension = ___________ lb
Sling Description: ADOS ___________" × 10'


Happy trails to all my crane and rigging friends,
Mike Parnell
ITI-Field Services
P.S. This article was originally published in The Professional Rigger Newsletter - Rigging Selection.
Answers:


COMMENTS